Предмет: Математика,
автор: zaraara89999
пожалуйста помогите сор
Приложения:
Ответы
Автор ответа:
0
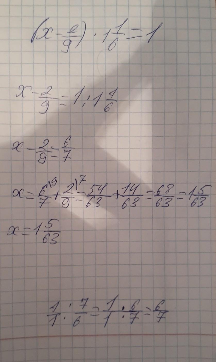
Ответ:
Вотттттттттұіқіқшіақа
Приложения:
sovetkhanova0853:
Там после = 1
Автор ответа:
1
Пошаговое объяснение:
вот вроде так
удачи там
Приложения:
Похожие вопросы
Предмет: Алгебра,
автор: maksim20012
Предмет: Математика,
автор: lomalena32
Предмет: Обществознание,
автор: tana12234
Предмет: Литература,
автор: Đĭłŷã0411