Предмет: Алгебра,
автор: rd1706d
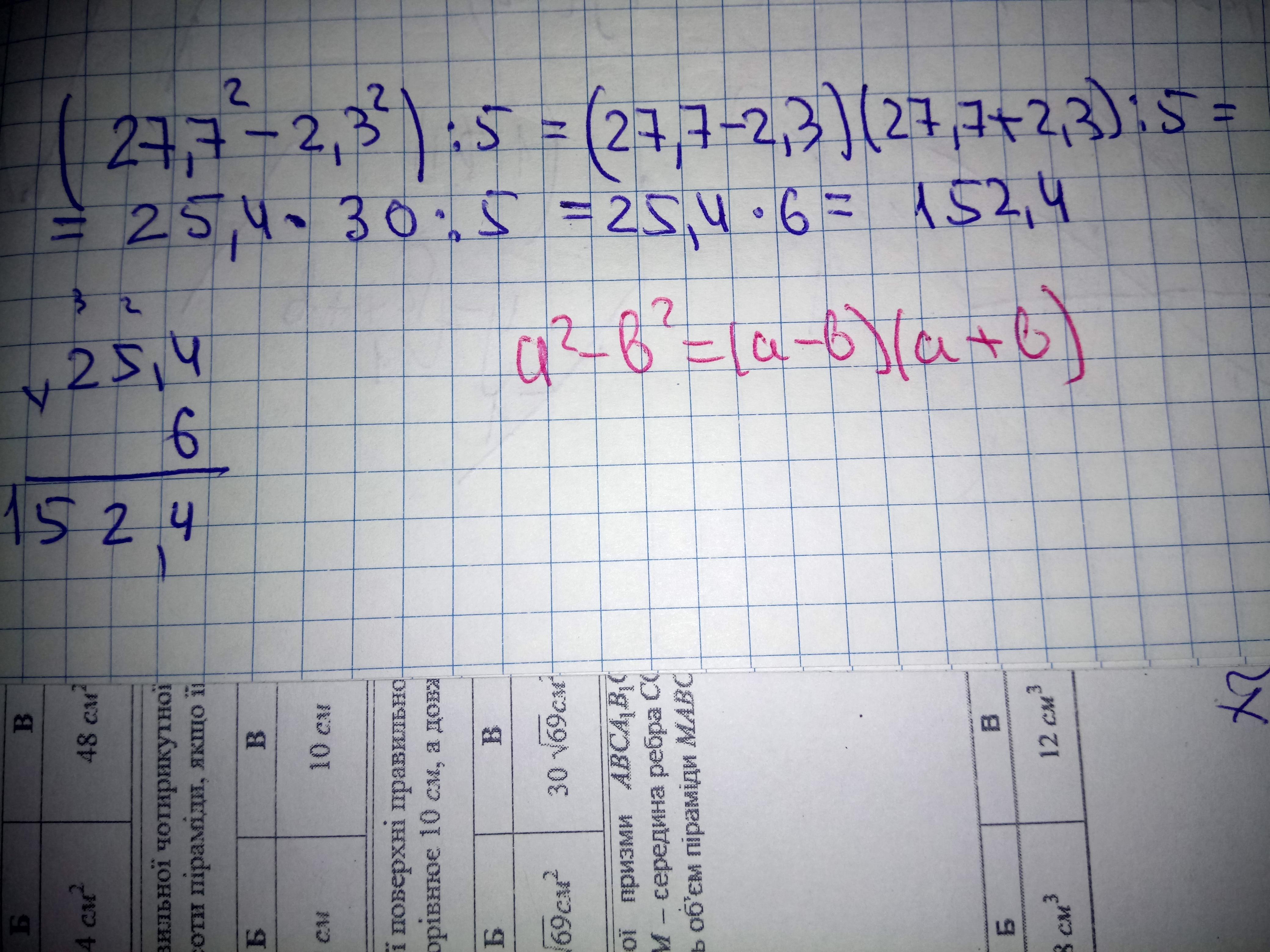
Вычислите:
(27,7²-2,3²):5
Ответы
Автор ответа:
0
Ответ:
152,4
Объяснение:
27,7*27,7=767,29.
2,3*2,3=5,29.
767,29-5,29=762
762/5=152,4
Автор ответа:
1
Решение выражения должно быть таким и никаким иначе. Тема формулы сокращённого умножения.
Приложения:
Похожие вопросы
Предмет: Математика,
автор: milena44
Предмет: Математика,
автор: strelianovakaty
Предмет: Математика,
автор: yekzhurawlyowa2
Предмет: Математика,
автор: Stepa07
Предмет: Математика,
автор: maximt025