Предмет: Математика,
автор: popovalufa765
умоляю))) а то два будееет...
Приложения:
Ответы
Автор ответа:
1
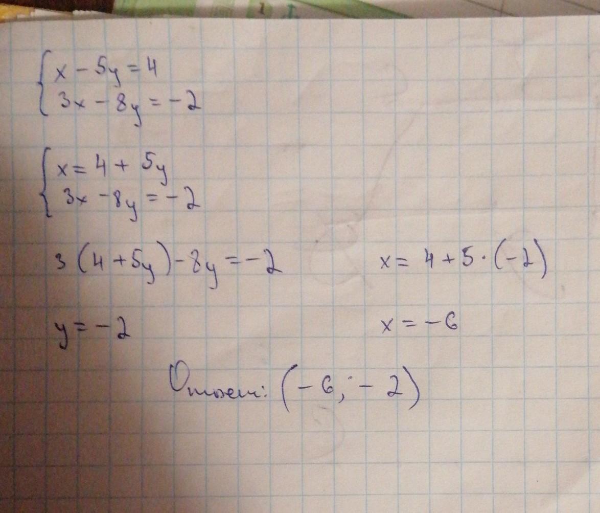
Ответ:
напишешь потом, какую оценку получила) удачи!
Приложения:
popovalufa765:
АААА спасибо большое ❤️❤️❤️
незачто! только я не совсем уверена что праивльно, давно это тему забыла, держу кулочки чтобы ты хорошую оценку получил_а
❤️❤️❤️
Похожие вопросы
Предмет: Математика,
автор: pozdinaelizaveta
Предмет: Математика,
автор: 12sofa
Предмет: Английский язык,
автор: ПроффесорКислыхЩей
Предмет: Математика,
автор: vetal1207