Предмет: Алгебра,
автор: Аноним
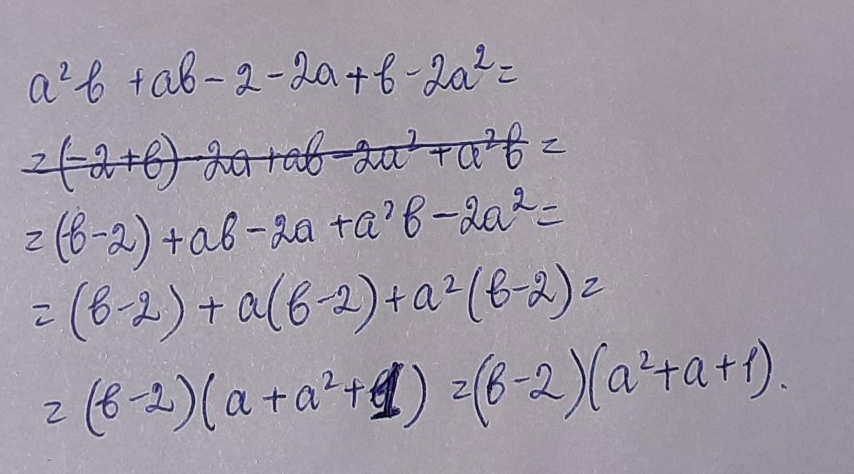
розкладить на множники многочлени a²b+ab-2-2a+b-2a² ПЖ ПОМОГИТЕ БУДУ ОООЧЕНЬ БЛАГОДАРНА
Ответы
Автор ответа:
1
Ответ:
ышнұвшвщснщснсщвсрщщнсщнащг
Приложения:
Похожие вопросы
Предмет: Геометрия,
автор: btyu
Предмет: Математика,
автор: Аноним
Предмет: Математика,
автор: denneganov
Предмет: Обществознание,
автор: ymi2
Предмет: Математика,
автор: sonyacatik13