Предмет: Геометрия,
автор: vlad64271574
СРОООООООЧЧЧНННННООООО!!!!!
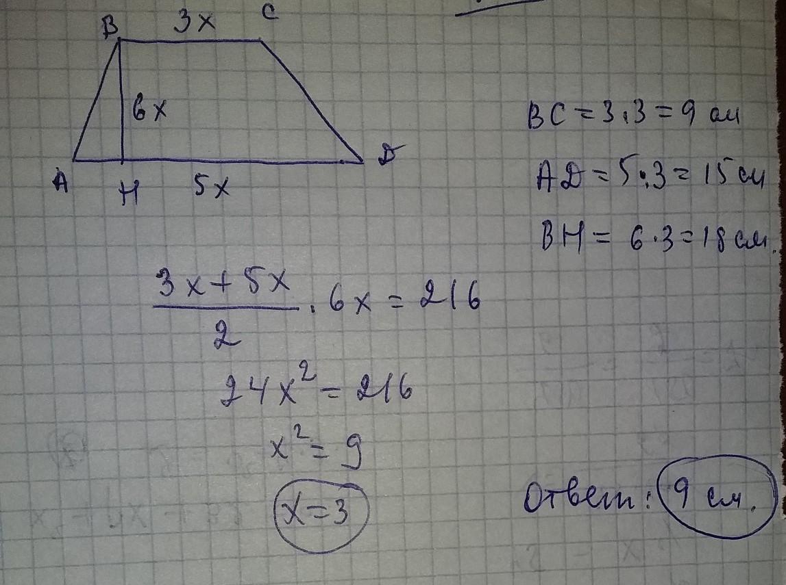
Основания и высота трапеции относятся как 3:5:6. Найдите меньшее основание трапеции, если площадь трапеции равна 216 см2.
Ответы
Автор ответа:
4
оооооооооооооооооооооооооо
Приложения:
Похожие вопросы
Предмет: Русский язык,
автор: DubovaAnna
Предмет: Русский язык,
автор: Diadance
Предмет: Информатика,
автор: Виктория1456
Предмет: Литература,
автор: alenaxromova3968