Предмет: Алгебра, автор: frankova04

Помогите пожалуйста.....

Приложения:

olgavepritskaya: ...

Ответы

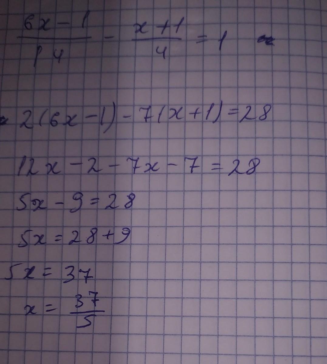
Автор ответа: purnessioparapio
1

Ответ:

как-то так, но это ещё не всё, ахах, постараюсь ещё

вот и все, все задания готовы, удачи! надеюсь, я написала все верно.

Приложения:

frankova04: большое спасибо :3
purnessioparapio: всегда пожалуйста :>
Автор ответа: tipoda
1

1.

1) 3а(2а³-5а²+2)=6а⁴-15а³+6а

2)"пример"= 3а²-7а+10а-35=3а²+3а-35

3)"пример"=36х²-27ху+4ху-3у²=36х²-23ху-3у²

4) "пример"= х³+2х²-3х-4х²-8х+12=х³-2х²-3х+12

2.

1) "пример"=3m(3m-4n)

2) "пример"= 5х(3х⁵-х³)

3)"пример"=ах+7х-ау-7у=(ах+7х)-(ау+7у)=х(а+7)-у(а+7)=(а+7)*(х-у)

3.

6х²-24х=0

6х²=24

х²=24:6

х²=4

х=√4

х=2

4.

4у(у-9)-(у-10)(у+3)=4у²-36у-(у²+3у-10у-30)=4у²-36у-у²-3у+10у+30=3у²-29у+40


frankova04: спасибо )
tipoda: пожалуйста
Похожие вопросы
Предмет: Русский язык, автор: dimchistyackow
Предмет: Алгебра, автор: magegghnta8338
Предмет: Математика, автор: KsushaCat1111