Предмет: Математика,
автор: Wwweeewwww
Помогите пожалуйста!
Приложения:
Ответы
Автор ответа:
1
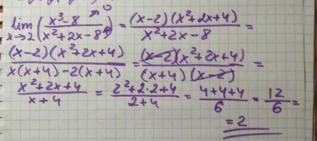
Конечно всё замуровано, но ничего не сделаешь)
Приложения:
Похожие вопросы
Предмет: Українська мова,
автор: lizochkachorna
Предмет: Другие предметы,
автор: Danilok910
Предмет: Алгебра,
автор: misspolyuska
Предмет: История,
автор: LIZETTA111
Предмет: Математика,
автор: misha88888