Предмет: Алгебра,
автор: gdlcjdrjf
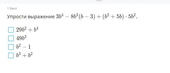
какой правельный ответ ?
Приложения:
Ответы
Автор ответа:
1
Ответ:49b³
Объяснение:
Объяснение во вложенном файле
Приложения:
Похожие вопросы
Предмет: Английский язык,
автор: Nastya16021999
Предмет: Литература,
автор: настямаркина2003
Предмет: Литература,
автор: kopichewa
Предмет: Химия,
автор: lehakorotaev