Предмет: Геометрия,
автор: narkozget
Помогите пожалуйста
Приложения:
Ответы
Автор ответа:
0
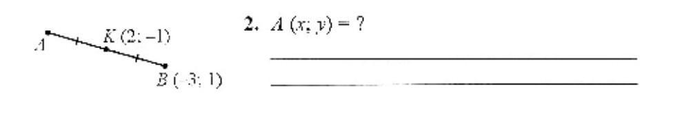
Ответ:
А(1, -2)
Объяснение:
Похожие вопросы
Предмет: Биология,
автор: cepnat2013
Предмет: Русский язык,
автор: Askosya
Предмет: Математика,
автор: emilnizamut
Предмет: Математика,
автор: lenatolkina
Предмет: Математика,
автор: nastyaklao