Предмет: Математика,
автор: kek509
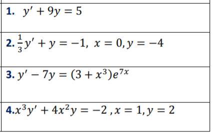
Помогите решить пожалуйста: "Линейные дифференциальные уравнения первого порядка". Даю 20 баллов.
Приложения:
Ответы
Автор ответа:
1
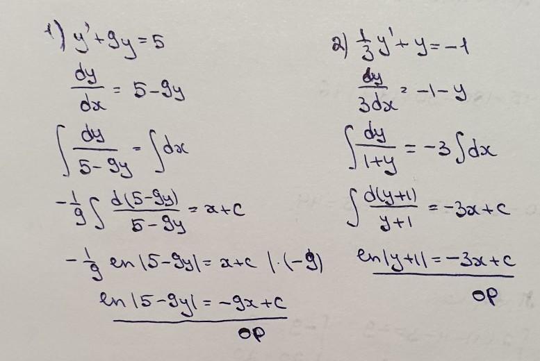
Ответ:
решение на фотографиях
Приложения:
Похожие вопросы
Предмет: Английский язык,
автор: NastisPopovis
Предмет: Математика,
автор: diana112003
Предмет: Алгебра,
автор: leratrifonova1
Предмет: Геометрия,
автор: мусяска