Предмет: Математика,
автор: scder12
помогите, Пожалуйста.
с решением.
10 класс.
Приложения:
Ответы
Автор ответа:
1
Ответ:
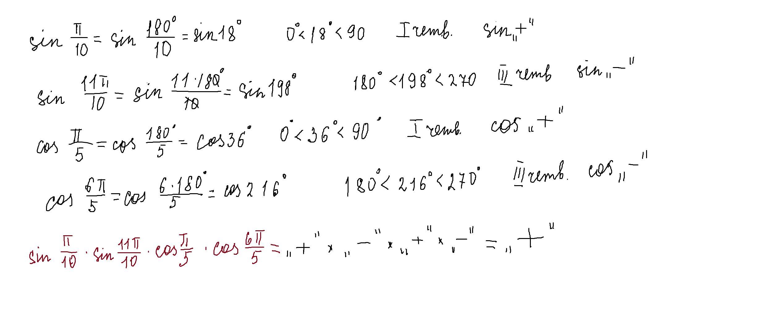
Пошаговое объяснение:
превращаем радианы в градусы и находим в какой четверти эти углы,по таблице смотрим,какой знак у этой функции в этой четверти,потом находим "произведение знаков" и получаем ответ,что знак у этого выражения "+"
Приложения:
Похожие вопросы
Предмет: Химия,
автор: dujka
Предмет: Другие предметы,
автор: tlepovrustam
Предмет: Математика,
автор: Alsu1010
Предмет: Математика,
автор: Malifisen