Предмет: Математика,
автор: Аноним
выполни умножение в столбик (1830*4)+(3695*6)=
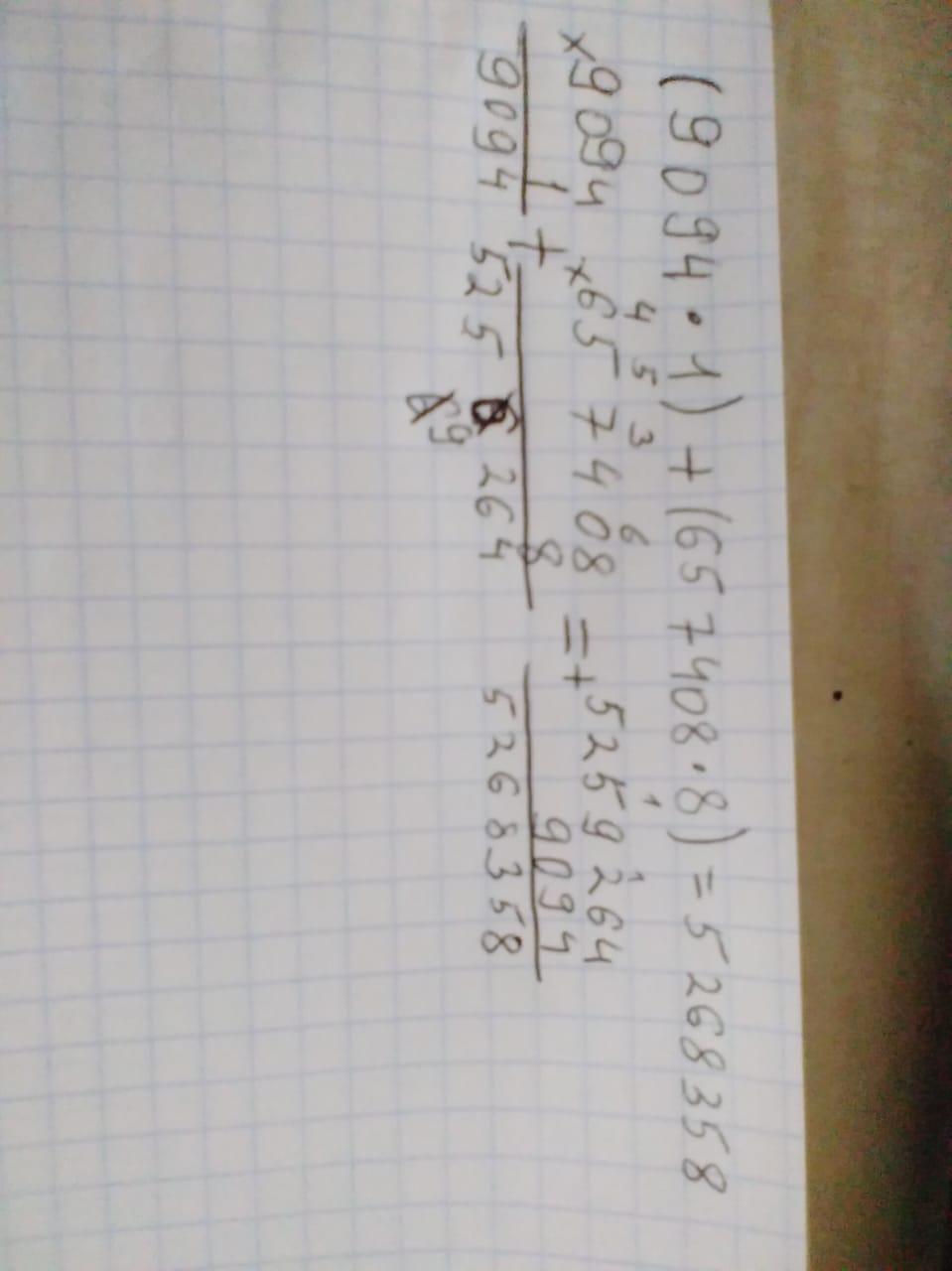
(9094*1)+(65 7408*8)=
Ответы
Автор ответа:
1
Ответ:
Пошаговое объяснение:
Приложения:
Похожие вопросы
Предмет: Математика,
автор: sertim97
Предмет: Русский язык,
автор: avogadroo
Предмет: Математика,
автор: sycheva36
Предмет: Литература,
автор: 1703Oxymiron1703