Предмет: Алгебра,
автор: Leylakatsyn62
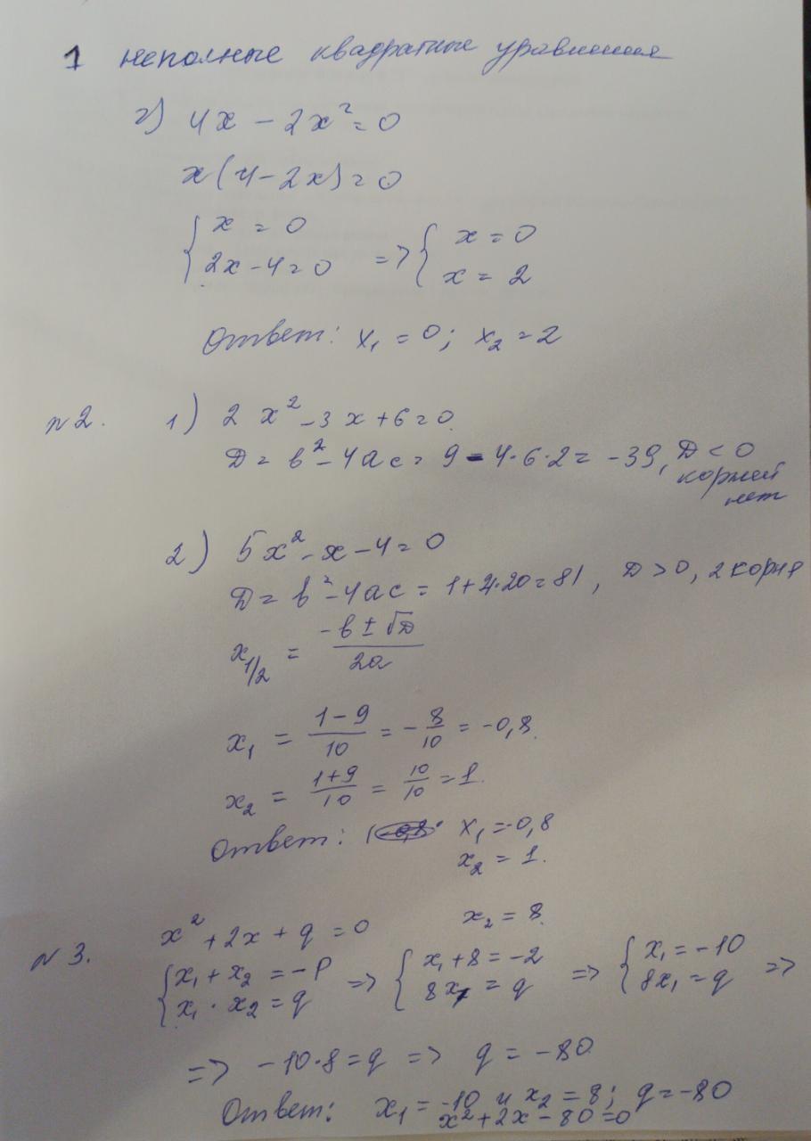
алгебра, помогите срочно нужно ❤❤❤❤❤❤❤
Приложения:
Ответы
Автор ответа:
1
Ответ: см в файлах
Объяснение:
Приложения:
Leylakatsyn62:
Спасибо большое ♡❤❤❤❤
Похожие вопросы
Предмет: Русский язык,
автор: ivanchova10
Предмет: Математика,
автор: alena290703
Предмет: Математика,
автор: KamalovaLili
Предмет: Геометрия,
автор: yana12sereda