Предмет: Алгебра,
автор: Аноним
помогитепомогитепомогитепомогитепомогитепомогитепомогитепомогитепомогитепомогитепомогитепомогите
Приложения:
Ответы
Автор ответа:
1
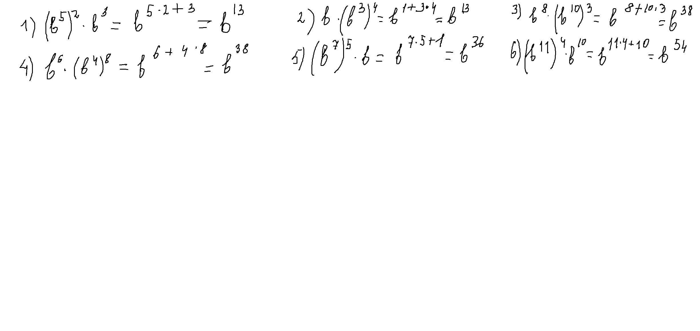
Ответ:
при умножении степеней с одинаковым основанием -показатели складываются,а при возведении в степень-умножаются.
Объяснение:
Приложения:
Похожие вопросы
Предмет: Математика,
автор: xeniabarnashev
Предмет: Математика,
автор: ЗУЛЯ77
Предмет: Геометрия,
автор: 89381646456
Предмет: Математика,
автор: nikuka1234