Предмет: Алгебра,
автор: toothlesszopa163
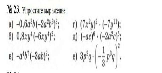
помогите решить я не понимаю 7 класс алгебра
Приложения:
Ответы
Автор ответа:
1
Ответ:
Первое это a
Объяснение:
Сєчєвєчєсєавєає
Приложения:
Автор ответа:
0
смотри ты умножаешь -0,6•(-2) получится 1,2 затем складываешь буквы, ответ 1,2a в 5 степени b в 4 степени
Похожие вопросы
Предмет: Английский язык,
автор: Ахмед2014
Предмет: География,
автор: dimonmatveev20
Предмет: Алгебра,
автор: En1ka
Предмет: Физика,
автор: nmd3p0
Предмет: Математика,
автор: angel150301