Предмет: Математика, автор: kucadelina26

Определи, на какие числа делится без остатка выражение
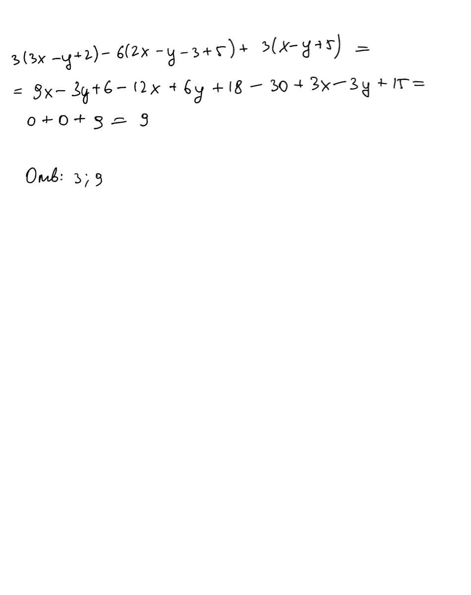
3(3x – y + 2) – 6(2x – y – 3 + 5) + 3(x – y + 5)
Верных ответов: 2 10 7 3 11 8 9 21


mirzaevaoksana8: Какой ответ
mirzaevaoksana8: Верных ответов 2
svetlanasadrina60: Верных ответов 3:3,9,11

Ответы

Автор ответа: veroniuka11
63
===========================
Приложения:

galbuogittedilara: а какой ответ?
veroniuka11: 3, 9
erofeyvishenkov: спасибо братан от души
tatalovam: Dcgu
Аноним: вау,правильно,и прикольно прикреплено
timakrykbaev08: спасибо!3,9правильно
ismilehus: не верно ответ 1,3
ismilehus: хотя я хз
ismilehus: может и правильно
maliykarustamova: 3,9 дұрыс
Похожие вопросы
Предмет: География, автор: sultanboss