Предмет: Математика,
автор: sabinkavitamin64
Помогите пожалуйста срочно
Приложения:
Ответы
Автор ответа:
0
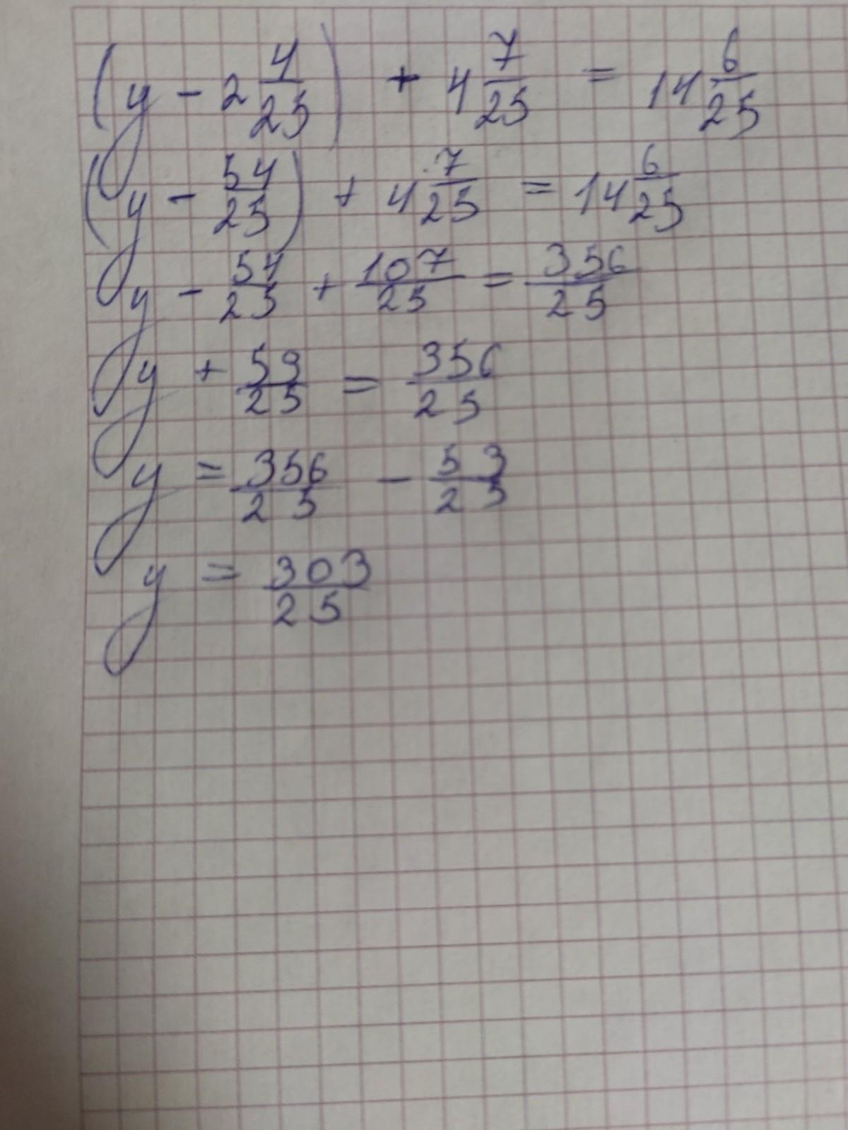
Ответ:
извените что тетрадь не в клеточку :)
Приложения:
Автор ответа:
0
Ответ:
...............................
Пошаговое объяснение:
.
Приложения:
Похожие вопросы
Предмет: Русский язык,
автор: 270320051
Предмет: Русский язык,
автор: morskoykotik57
Предмет: Українська мова,
автор: tsikovkiny
Предмет: История,
автор: 12poli