Предмет: Алгебра,
автор: Lizalisova123
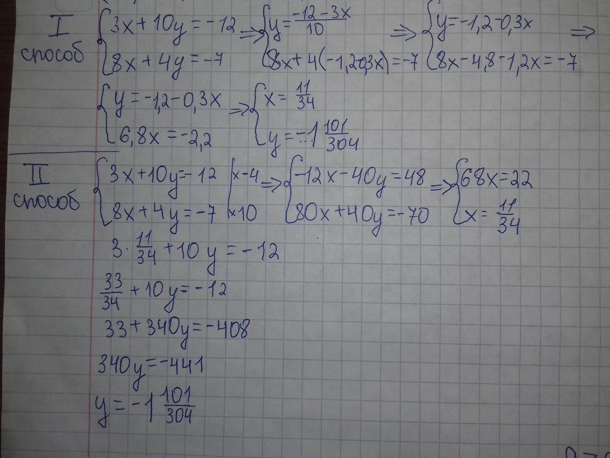
(3х+10у=-12
(8х+4у=-7
Ответы
Автор ответа:
0
Ответ и решение:
На фото
1-й способ: метод подстановки
2-й способ: метод сложения
Приложения:
Похожие вопросы
Предмет: Русский язык,
автор: milenasidorenk
Предмет: Русский язык,
автор: mokanu05
Предмет: География,
автор: norovdanya
Предмет: Алгебра,
автор: nastyakelman25