Предмет: Алгебра,
автор: 3847744
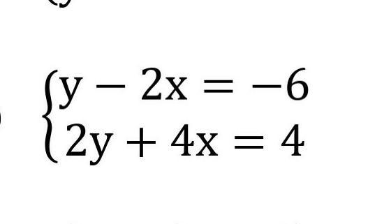
Решите систему уравнений графическим способом:
Если не знаете не пишите!
Приложения:
Ответы
Автор ответа:
2
Ответ:
М(2; -2)
Объяснение:
{ у-2х=-6; у=2х-6; х=0 у=-6; х=3 у=0
{ 2у+4х=4; у=2-2х; х=0 у=2; х=1 у=0
Приложения:
837374:
спасибо что помогли
не могли вы бы у меня тоже решить почти тоже самое?
пожалуйста?!
что вам решить?
Похожие вопросы
Предмет: Русский язык,
автор: kolmolt
Предмет: Математика,
автор: maginamaylen
Предмет: Русский язык,
автор: nastipyrik
Предмет: Обществознание,
автор: Shaha2000