Предмет: Алгебра,
автор: belokonbogdana
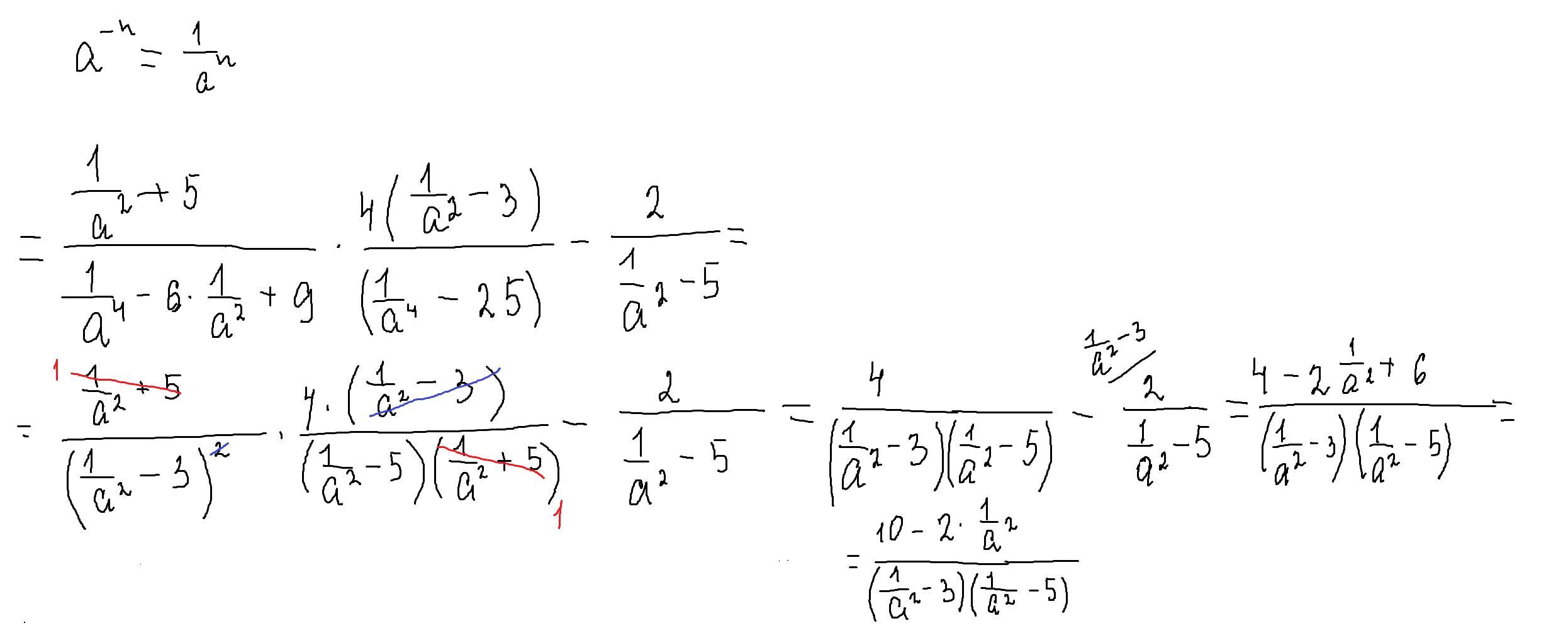
помогите с примером, очень прошу, срочно♡♡♡
Приложения:
Ответы
Автор ответа:
0
Ответ:
belokonbogdana:
мне нужно именно решение
Автор ответа:
2
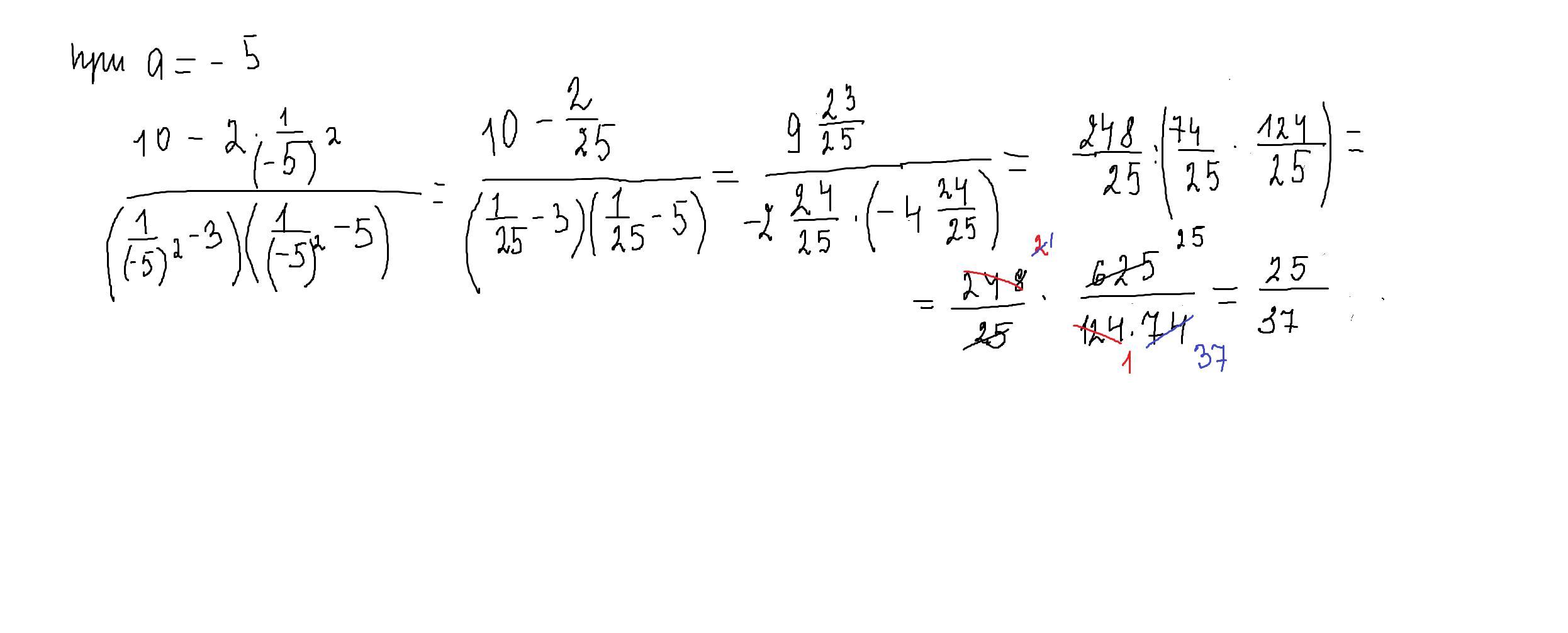
Ответ:
25\37
Объяснение:
решение внизу(надеюсь что не запуталась)
Приложения:
Похожие вопросы
Предмет: Другие предметы,
автор: olqazel
Предмет: География,
автор: karkir777
Предмет: Русский язык,
автор: bobinama
Предмет: Математика,
автор: vyaskin2018