Предмет: Алгебра,
автор: pkhimisn
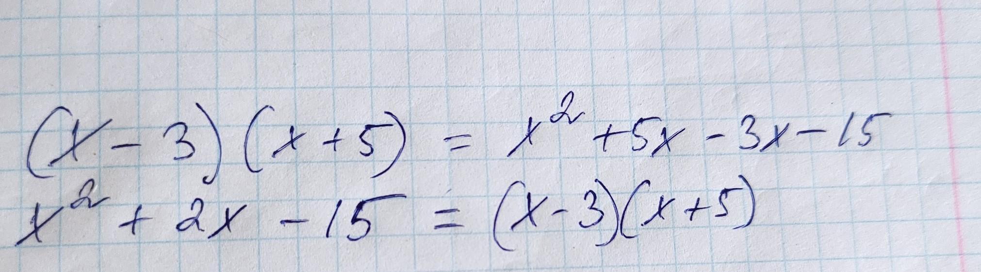
Составьте квадратное уравнение, корни которого равны: 3 и -5.
Ответы
Автор ответа:
43
Квадратное уравнение = (x - x1) * (x - x2)
У тебя известны корни этого самого уравнения : x1 = 3 и x2 = -5. Решение на фото.
Приложения:
Похожие вопросы
Предмет: Геометрия,
автор: RIL15
Предмет: Математика,
автор: dasha098765
Предмет: Русский язык,
автор: аджна
Предмет: Математика,
автор: nikitanekrasov2
Предмет: Математика,
автор: думка3