Предмет: Математика,
автор: beriknurymbetov91
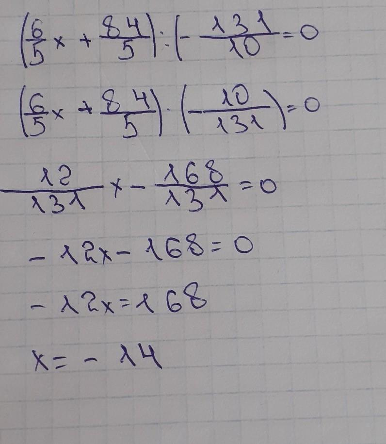
2) (1,2x+16,8) : (-13,1)=0
Ответы
Автор ответа:
0
пишишь это и всё........
Приложения:
Похожие вопросы
Предмет: Русский язык,
автор: rxitrova
Предмет: Математика,
автор: AlexMineCity
Предмет: Биология,
автор: nastyacyganova
Предмет: Химия,
автор: dima994
Предмет: История,
автор: vagifbalabekov