Предмет: Математика,
автор: batyrkhanzeineden25
Решите уравнение пожалуйста
Приложения:
batyrkhanzeineden25:
ок
Ответы
Автор ответа:
0
Ответ:
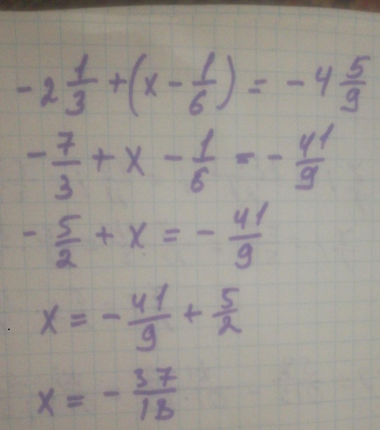
вот решение на фото надеюсь помогла
Приложения:
Похожие вопросы
Предмет: История,
автор: antonsergeyev2
Предмет: Математика,
автор: semenovairena
Предмет: Биология,
автор: Tetrisss
Предмет: Математика,
автор: hhdsjhvgeyzjv
Предмет: Химия,
автор: daoviettuananh01