Предмет: Математика,
автор: Аноним
срочно помогите
с правильным решением
и с понятным ответом пожалуйста!
Приложения:
Ответы
Автор ответа:
1
Ответ:
1/2
Пошаговое объяснение:
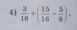
3/16+5/16
Автор ответа:
0
Ответ:
1/2
Пошаговое объяснение:
= 3/16 + (15/16 - 10/16) = 3/16 + 5/16 = 8/16 = 1/2
LSM54:
Помогите, пожалуйста https://znanija.com/task/40741931
Похожие вопросы
Предмет: Русский язык,
автор: juliya241
Предмет: Литература,
автор: rusn03
Предмет: Математика,
автор: cfduffjf
Предмет: Физика,
автор: Васенька000