Предмет: Математика, автор: TvoyPomoshik

Срочно нужна помощь по математике! Даю 23 баллов! Помоги с 2 примерами!!!

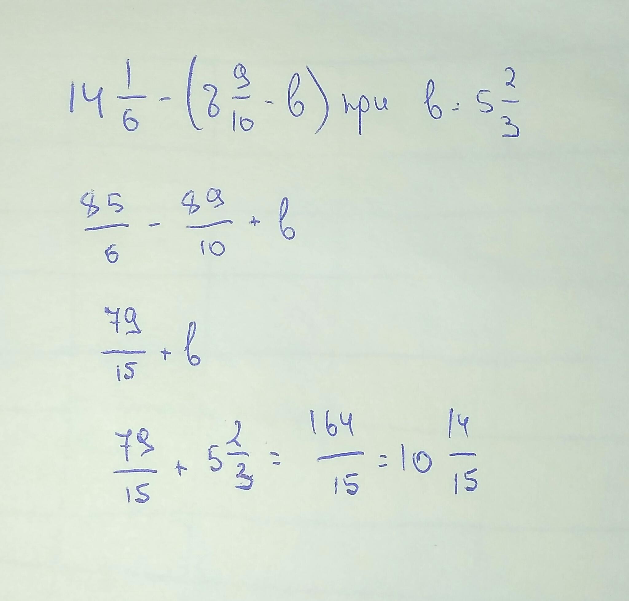
Название задание: Найдите значение выражения.

Фото⬇️

Приложения:

dolbachok: фота?
TvoyPomoshik: Все выложил
dolbachok: фото?
TvoyPomoshik: Извини случайно забыл
TvoyPomoshik: Выложил
TvoyPomoshik: Так поможете?

Ответы

Автор ответа: nfyzn
0

Ответ:

2) 10 14/15

4) 2 11/15

Приложения:

TvoyPomoshik: Стой ты не так понял
nfyzn: что именно не так
TvoyPomoshik: Ну просто там в пример (объяснение) было больше цифр и по другому как то делалось, там примерно 2-3 строчки в тетради занимало 1 пример. И все было вместе
nfyzn: упростил пример и подставил значение b, такие задания везде решаются именно так
dolbachok: Подтверждаю его слова, все такие задачи так решаются)
TvoyPomoshik: А у нас нет! У нас именно так надо тему делать
dolbachok: Если так делать тото самый тупой и сложный способ)
nfyzn: наверное он ещё не знает что такое ОГЭ и ЕГЭ там даются сложные примеры и подставить сразу - самый сложный способ решения
dolbachok: думаю да)
dolbachok: но в школах учат по сложному
Похожие вопросы
Предмет: Другие предметы, автор: Аноним
Предмет: Математика, автор: tanyasob293
Предмет: Математика, автор: pomogiplizplizpliz