Предмет: Математика,
автор: MolkyWay
РЕБЯТУШКИ!!! ПОМОГИТЕ! ОЧЕНЬ НУЖНО!
Приложения:
Ответы
Автор ответа:
1
Ответ:
ниже
Пошаговое объяснение:
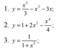
1) найдем производную
x^2-2x-3
приравниваем к нулю
получаем х=-1 х=3
расставляем их на прямой
--------------------------------------
+ -1 - 3 +
т.к изначально икс положительный, то расставим знаки (уже расставил)
получается min 3 max -1
возрастает (-беск до -1) и (3 до +беск)
убывает (-1 до 3)
2) аналогично 4х-х^3
х=0 х=2 х=-2
расставляем и получаем (тут знаки будут +-+- т.к икс отрицательный)
min 0 max -2 и 2
возрастает (-беск до -2) и (0 до 2)
убывает (-2 до 0) и (2 до +беск)
3) то же самое
-2х/(1+x^2)^2
х=0
это min
возрастает от нуля до +беск
убывает от -беск до нуля
удачи!
Похожие вопросы
Предмет: Математика,
автор: viruszombie
Предмет: Русский язык,
автор: liholatdasha2014
Предмет: Математика,
автор: karisha90802
Предмет: История,
автор: artemis045
Предмет: Геометрия,
автор: krasava213