Предмет: Математика,
автор: azrasss0
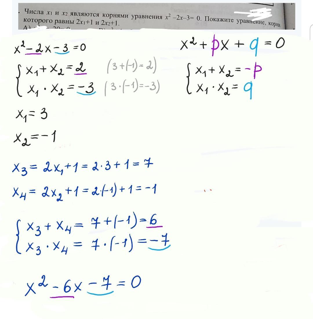
помогите пожалуйста умоляю
Приложения:
Ответы
Автор ответа:
0
Задание для какого класса?Решаться может по-разному,в зависимости от класса.
Приложения:
Похожие вопросы
Предмет: Русский язык,
автор: яячвкп
Предмет: Русский язык,
автор: nikitavereshak
Предмет: Биология,
автор: Uliya1005examp
Предмет: Литература,
автор: forunchuk5000