Предмет: Алгебра,
автор: alexandraqazplm
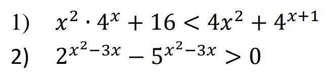
помогите пожалуйста
Приложения:
Ответы
Автор ответа:
0
Відповідь:
Пояснення:
Приложения:
Похожие вопросы
Предмет: Химия,
автор: gabrahmanova15
Предмет: Английский язык,
автор: Iren2211
Предмет: Английский язык,
автор: pavlova21092002
Предмет: География,
автор: настюсик3
Предмет: Геометрия,
автор: LesyaKi