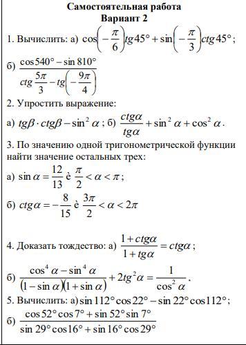
Предмет: Алгебра, автор: asdasd223

Помогите пожалуйста с алгеброй

Приложения:

Ответы

Автор ответа: Miroslava227
1

Ответ:

1.

а)

 \cos( -  \frac{\pi}{6} ) tg(45°) +  \sin( -  \frac{\pi}{3} ) ctg(45°) =  \frac{ \sqrt{3} }{2}  \times 1 + ( -  \frac{ \sqrt{3} }{2} ) \times 1 = 0

б)

 \frac{ \cos(540°)  -  \sin(810°) }{ctg( \frac{5\pi}{3} ) - tg( -  \frac{9\pi}{4}) }  =  \frac{ \cos(3\pi) -  \sin( \frac{9\pi}{2} )  }{ -  \frac{ \sqrt{3} }{3} - ( - 1) }  =  \frac{ - 1 - 1}{1 -  \frac{ \sqrt{3} }{3} }  =  - 2 \times  \frac{3}{3 -  \sqrt{3} }  =  -  \frac{6}{3 -  \sqrt{3} }

2.

а)

tg( \beta ) \times ctg( \beta ) -   { \sin( \alpha ) }^{2}  = 1 -  { \sin( \alpha ) }^{2}  =  { \cos( \alpha ) }^{2}

б)

 \frac{ctg( \alpha )}{tg( \alpha )}  +  { \sin( \alpha ) }^{2}  +  { \cos( \alpha ) }^{2}  =  \frac{1}{ {tg( \alpha )}^{2} }  + 1 =  \frac{1}{ { \cos( \alpha ) }^{2} }

3.

а)

угол во 2 четверти => косинус, тангенс, котангенс отрицательные

 \cos( \alpha )  =  \sqrt{1 -  { \sin( \alpha ) }^{2} }  \\  \cos( \alpha )  =  -  \sqrt{1 -  \frac{144}{169} }  =  -  \sqrt{ \frac{25}{169} }  =  -  \frac{5}{13}

tg( \alpha ) =  \frac{ \sin( \alpha ) }{ \cos( \alpha ) }  =  \frac{12}{13}  \times ( -  \frac{13}{5} ) =  -  \frac{12}{5}

ctg( \alpha ) =  \frac{1}{tg( \alpha )}  =  -  \frac{5}{12}

б)

угол в 4 четверти => тангенс отрицательный, синус отрицательный, косинус положительный.

ctg( \alpha ) =  -  \frac{8}{15}  \\ tg( \alpha ) =  -  \frac{15}{8}

Используем формулу:

1 +  {tg( \alpha )}^{2}  =  \frac{1}{ { \cos( \alpha ) }^{2} }  \\  { \cos( \alpha ) }^{2}  =  \frac{1}{1 +  {tg( \alpha )}^{2} }  \\  \cos( \alpha )  =  +  -  \sqrt{ \frac{1}{1 +  {tg( \alpha )}^{2} } }

знак зависит от угла.

 \cos( \alpha )  =  \sqrt{ \frac{1}{1 +  \frac{225}{64} } }  =  \sqrt{ \frac{64}{64 + 225} }  =  \sqrt{ \frac{64}{289} }  =  \frac{8}{17}

 \sin( \alpha )  =  -  \sqrt{1 -  \frac{64}{289} }  =  -  \sqrt{ \frac{225}{289} }  =  -   \frac{15}{17}

4.

а)

 \frac{1 + ctg( \alpha )}{1 + tg( \alpha )}  =  \frac{1 +  \frac{ \cos( \alpha ) }{ \sin( \alpha ) } }{1 +  \frac{ \sin( \alpha ) }{ \cos( \alpha ) } }  =  \frac{ \frac{ \sin( \alpha ) +  \cos( \alpha )  }{ \sin( \alpha )   } }{ \frac{ \cos( \alpha )  +  \sin( \alpha ) }{ \cos( \alpha ) } }  =  \frac{ \sin( \alpha ) +  \cos( \alpha ) }{ \sin( \alpha ) }  \times  \frac{ \cos( \alpha ) }{ \sin( \alpha ) +  \cos( \alpha )  }  =  \frac{ \cos( \alpha ) }{ \sin( \alpha ) }  = ctg( \alpha )

б)

 \frac{ { \cos( \alpha ) }^{4} -  { \sin( \alpha ) }^{4}  }{(1 -  \sin( \alpha ))(1 +  \sin( \alpha ))  }  + 2 {tg( \alpha )}^{2}  =   \frac{( { \cos( \alpha ) }^{2} -  { \sin( \alpha ) }^{2})( { \cos( \alpha ) }^{2}   +  { \sin( \alpha ) }^{2})  }{1 -  { \sin( \alpha ) }^{2} }  + 2 {tg( \alpha )}^{2}  =  \frac{ \cos(2 \alpha ) \times 1 }{ { \cos( \alpha ) }^{2} }  + 2 {tg( \alpha )}^{2}  =  \frac{ \cos(2 \alpha ) }{ { \cos( \alpha ) }^{2} } +  \frac{2 { \sin( \alpha ) }^{2} }{ { \cos( \alpha ) }^{2} }   =  \frac{ { \cos( \alpha ) }^{2}  -   { \sin( \alpha ) }^{2} ) + 2 { \sin( \alpha ) }^{2}  }{ { \cos( \alpha ) }^{2} }  =  \frac{ { \cos( \alpha ) }^{2}  +  { \sin( \alpha ) }^{2} }{ { \cos( \alpha ) }^{2} }  =  \frac{1}{ { \cos( \alpha ) }^{2} }

5.

а)

 \sin(112°)  \cos(22°)  -  \sin(22°)  \cos(112°)  =  \sin(112° - 22°)  =  \sin(90°)  = 1

б)

 \frac{ \cos(52°) \cos(7°)  +  \sin(52°)  \sin(7°)  }{ \sin(29°) \cos(16°) +  \sin(16°)  \cos(29°)   }  =  \frac{ \cos(52° - 7°) }{ \sin(29° + 16°) }  =  \frac{ \cos(45°) }{ \sin(45°) }  =  \frac{ \frac{ \sqrt{2} }{2} }{ \frac{ \sqrt{2} }{2} }  = 1

Похожие вопросы