Предмет: Математика,
автор: erikkurwa
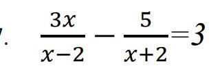
помогите с математикой пожалуйста
Приложения:
Ответы
Автор ответа:
2
Ответ:
решение смотри на фотографии
Пошаговое объяснение:
Приложения:
abdikarimovazadyra:
спс
Похожие вопросы
Предмет: Математика,
автор: 2303Nastya
Предмет: Химия,
автор: nastyarazorvin
Предмет: Литература,
автор: крутой2016
Предмет: Математика,
автор: jontfols999
Предмет: География,
автор: И55373919