Предмет: Математика,
автор: Anna8562
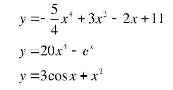
Помогите, пожалуйста, найти производные функции :
Приложения:
Ответы
Автор ответа:
1
Ответ:
Похожие вопросы
Предмет: Русский язык,
автор: anna2003309
Предмет: Английский язык,
автор: turnasyr
Предмет: Математика,
автор: sjtfsy
Предмет: Математика,
автор: Викасичек