Предмет: Математика,
автор: grigoriinain3
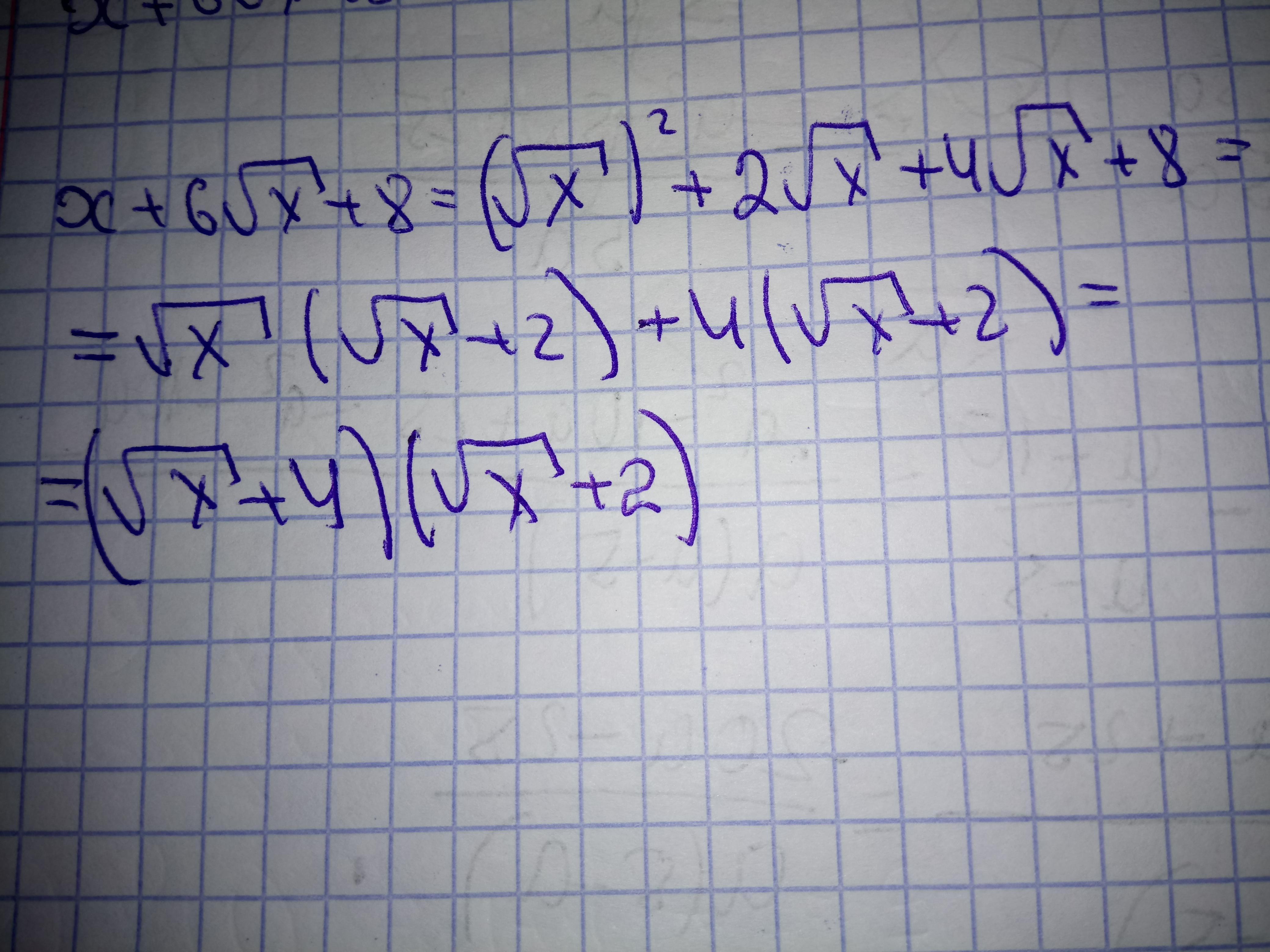
Разложи трехчлен на множители:
Ответ:
Приложения:
Ответы
Автор ответа:
8
Решение задания прилагаю
Приложения:
grigoriinain3:
в билимленде не такого ответа
ответ там где есть оба плюса кто с ОМ
Похожие вопросы
Предмет: Алгебра,
автор: ivleva1999
Предмет: Литература,
автор: Kuklа
Предмет: Математика,
автор: Аноним
Предмет: ОБЖ,
автор: АНТОН39493844
Предмет: Математика,
автор: СулеймановаНигяр