Предмет: Математика,
автор: chizhic
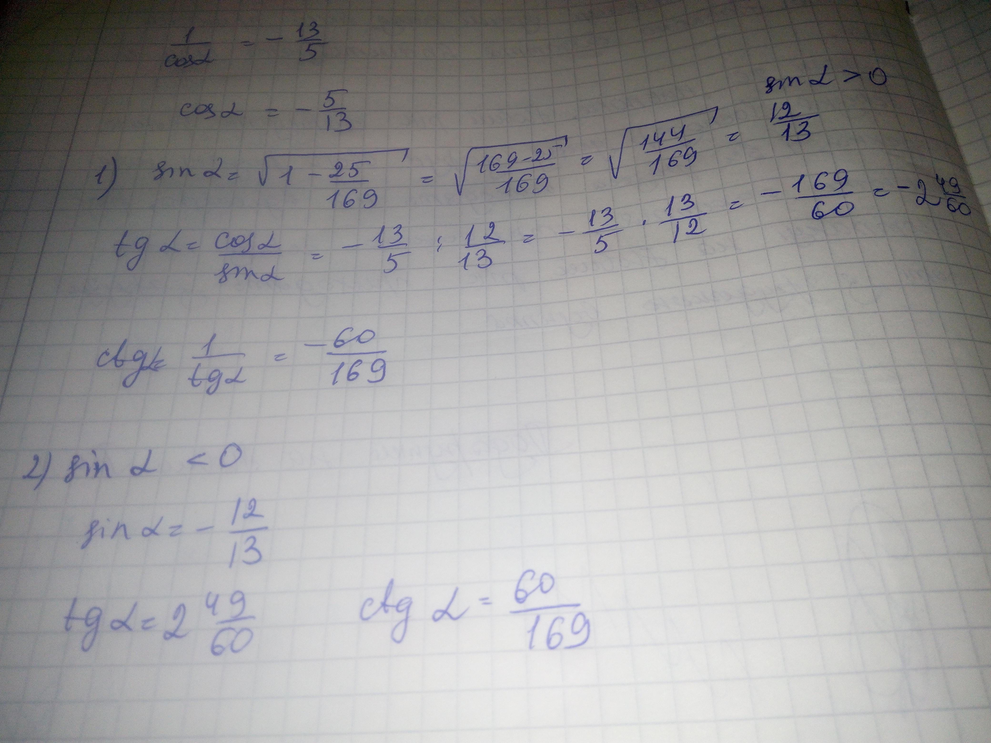
1) Вычислить: tgα, sinα, ctgα , если 1cosα= − 13/5 ,
Ответы
Автор ответа:
1
Ответ:
Пошаговое объяснение:
Приложения:
Похожие вопросы
Предмет: Физика,
автор: viktor641977
Предмет: История,
автор: zikkod
Предмет: Биология,
автор: orden1
Предмет: Математика,
автор: rozarafo5
Предмет: Алгебра,
автор: marinaschakina