Предмет: Математика,
автор: xardgrif
Помогите пожалуйста решить
есть 19 балов и все
Приложения:
Ответы
Автор ответа:
1
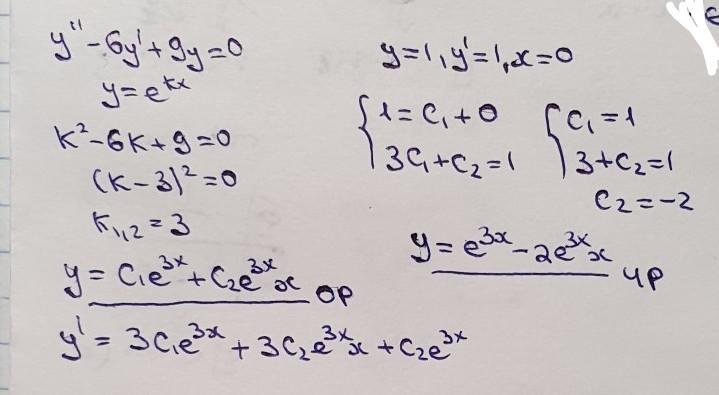
решение на фотографиях
Приложения:
571800:
люди помогите мне с алгеброй зайдите на вопрос мой срочнооо
пожалуйста
Похожие вопросы
Предмет: Математика,
автор: Кристинка20043
Предмет: Математика,
автор: marara03
Предмет: Обществознание,
автор: Liza0Liza
Предмет: Математика,
автор: stepan0211