Предмет: Математика,
автор: Hovo555
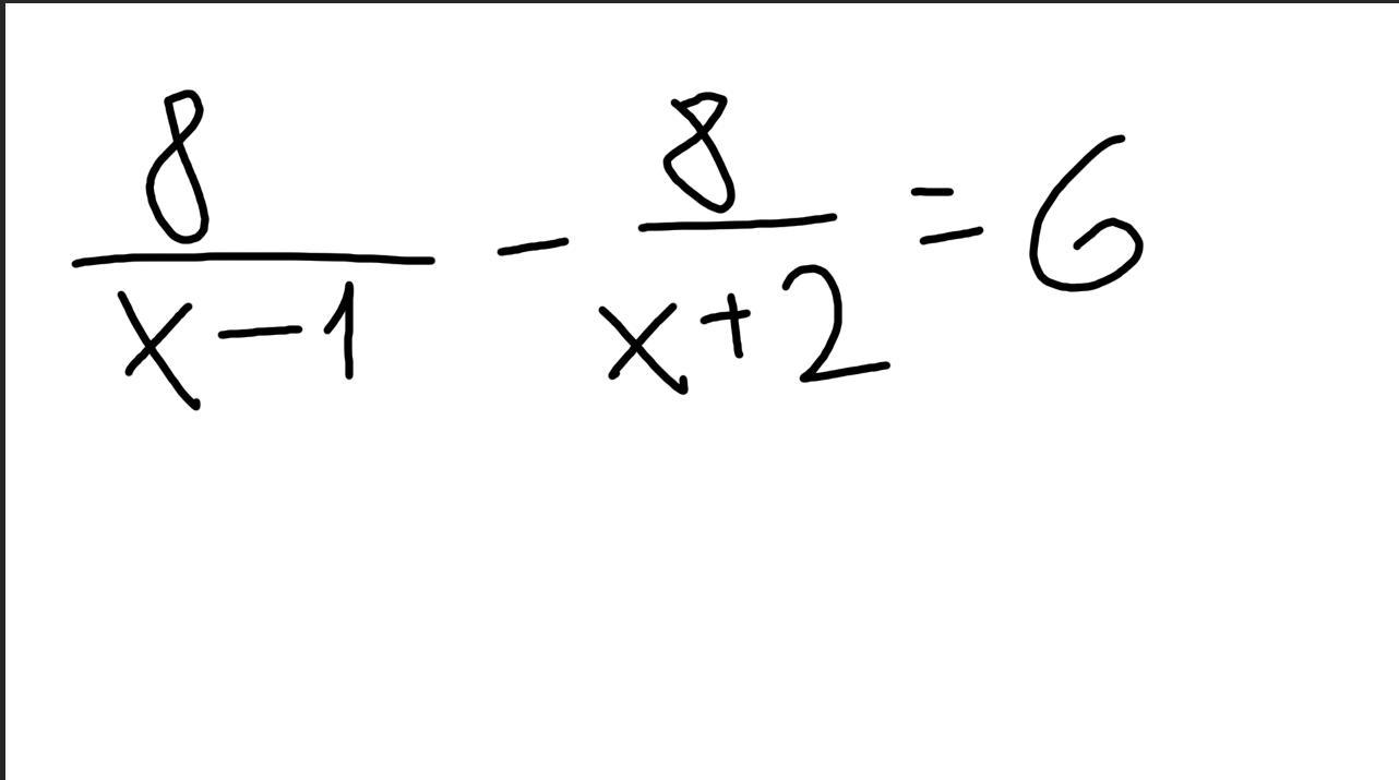
Найдите произведение корней уравнения
ПОМОГИТЕ!!!!! ПОЖАЛУЙСТА
Приложения:
Ответы
Автор ответа:
1
Ответ - 6.
Решение задачи прилагаю
Приложения:
Hovo555:
от души
Похожие вопросы
Предмет: Алгебра,
автор: Stiel
Предмет: Английский язык,
автор: Котяяяя2002
Предмет: Математика,
автор: отлец
Предмет: Алгебра,
автор: galinashoot
Предмет: Геометрия,
автор: imisakov2882