Предмет: Алгебра,
автор: KpecTHarpygu
Решите пж, как можно быстрее конечно. Спасибо =)
Приложения:
Ответы
Автор ответа:
1
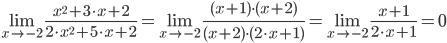
Ответ:
см фото
Объяснение:
Приложения:
Похожие вопросы
Предмет: Математика,
автор: Labrador333
Предмет: Геометрия,
автор: gffgghhh
Предмет: Другие предметы,
автор: Катюша555556
Предмет: Алгебра,
автор: Vakluver
Предмет: Математика,
автор: ккк140