Предмет: Алгебра,
автор: ladymery08
Решите пожалуйста!!!!!
Приложения:
ladymery08:
Быстрееее....!!!!
Ответы
Автор ответа:
1
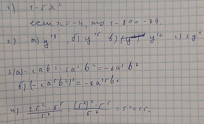
Ответ:
смогу помочь только с четыремя
Приложения:
Похожие вопросы
Предмет: Русский язык,
автор: olgapovod
Предмет: История,
автор: kazakov22817
Предмет: Русский язык,
автор: tanyaru31032012
Предмет: Физика,
автор: 55Viktoria551
Предмет: География,
автор: задание2013