Предмет: Математика, автор: krivopalovamaria194

помогите пж буду благодарна даю 30 баллов

Приложения:

Ответы

Автор ответа: Санечка69
0

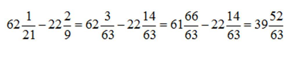
См. решение на рисунке

Приложения:
Автор ответа: axatar
0

Ответ:

19\dfrac{52}{63}

Пошаговое объяснение:

Определим общий знаменатель. Для этого находим НОК(21; 9):

21=3·7 и 9=3².

Тогда

НОК(21; 9)=НОК(3·7; 3²)=3²·7=9·7=63.

62\dfrac{1}{21}- 22\dfrac{2}{9}= 62\dfrac{1 \cdot 3}{21 \cdot 3}- 22\dfrac{2 \cdot 7}{9 \cdot 7}= 62\dfrac{3}{63}- 22\dfrac{14}{63}=61\dfrac{63+3}{63}- 22\dfrac{14}{63}=\\\\=61\dfrac{66}{63}- 22\dfrac{14}{63}=(61-22)+\left (\dfrac{66}{63}-\dfrac{14}{63} \right)=19+\dfrac{66-14}{63}= 19+\dfrac{52}{63}=19\dfrac{52}{63}.

Похожие вопросы
Предмет: Математика, автор: xdddddddo
Предмет: Математика, автор: fcshvf