Предмет: Математика,
автор: Sayan000
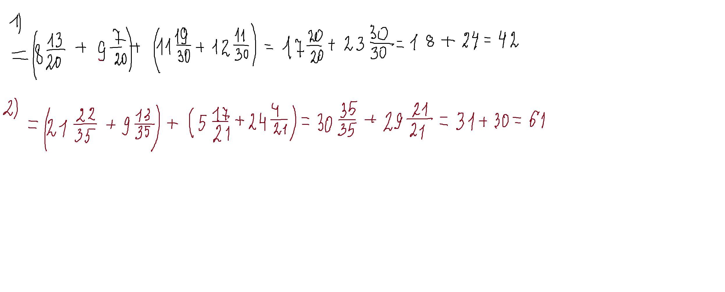
Домашнее задание №465 стр 119 ТЕМА:Сложение смешанных чисел. Вычитание смешанных чисел. Урок 3 ПОМОГИТЕ!!!
Приложения:
Ответы
Автор ответа:
1
Ответ:
Пошаговое объяснение:
решение внизу
Приложения:
Sayan000:
спасибо
пожалуйста
Похожие вопросы
Предмет: Русский язык,
автор: kondratovskayai
Предмет: Математика,
автор: Rustik2004
Предмет: Химия,
автор: Jdfidu
Предмет: Математика,
автор: макс2857