Предмет: Математика,
автор: kamilamva
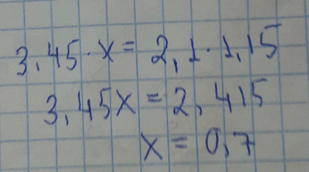
найди неизвестные члены пропорции
1) -23/14
2) 0,7
3)-0,7
6)6,3
ПППППЖЖЖЖЖ СРОЧНО
Приложения:
Ответы
Автор ответа:
15
Пошаговое объяснение:
Решение на фотографии
Приложения:
tapievnurali60:
я пошутил
это пранк
кароч я сор пишу не мешайте
из за тебя люди могли сделать ошибку идиот
я просто хочу быть как ты идиотом
ГУЧИ ФЛИП ФЛАП
это ты идиот, раз вместо того чтоб делать сор. со мной споришь. иди учи уроки :)
спс привильно....
Всё правильно
Спасибо большое
Спасибо большое
Похожие вопросы
Предмет: Українська література,
автор: ira9929
Предмет: Математика,
автор: nasty20042010
Предмет: Английский язык,
автор: МанюняКисюня
Предмет: Математика,
автор: валерия64738
Предмет: Геометрия,
автор: dina9992