Предмет: Алгебра,
автор: mixanikdaniil2
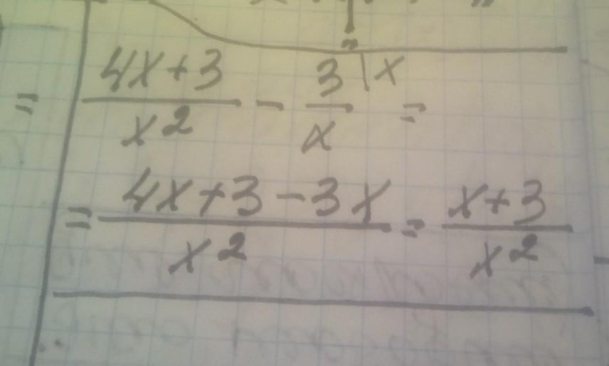
знайдіть різницю дробів 4x+3/x^2 i 3/x
Ответы
Автор ответа:
7
Ответ:
решение на фотографии
Приложения:
Автор ответа:
1
4x+3/x*1/2-3/x
4x+3/2x-3/x
8x в квадрате +3-6/2x
8x в квадрате -3/2x
4x+3/2x-3/x
8x в квадрате +3-6/2x
8x в квадрате -3/2x
mixanikdaniil2:
Спасибо большое ❤️
Похожие вопросы
Предмет: Математика,
автор: irakura10
Предмет: Русский язык,
автор: lpslps347
Предмет: Математика,
автор: Саша23102006
Предмет: Математика,
автор: натали562
Предмет: Обществознание,
автор: zarinasemyatov