Предмет: Алгебра, автор: zolka003

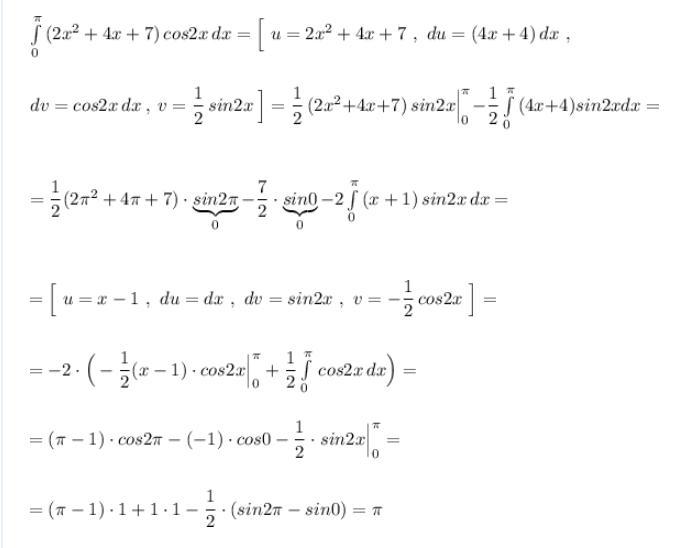
Вычислить определённый интеграл.
Пожалуйста, помогите решить, срочно нужно! Не с фотомэс.

Приложения:

Ответы

Автор ответа: NNNLLL54
1

3.\ \ \ \int\limits^1_{-2}\, (5x^4+9x^2-1)\, dx=\Big(\dfrac{5x^5}{5}+\dfrac{9x^3}{3}-x\Big)\Big|_{-2}^1=\Big(x^5+3x^3-x\Big)\Big|_{-2}^1=\\\\\\=\Big(1+3-1\Big)-\Big(-32-24+2\Big)=3-(-54)=57

Приложения:
Похожие вопросы
Предмет: Математика, автор: irina696