Предмет: Алгебра,
автор: Evgehu
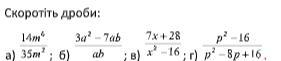
Скоротiть дроби СРОЧНО
Приложения:
Ответы
Автор ответа:
0
Ответ дан на листочке выше
Приложения:
Похожие вопросы
Предмет: Алгебра,
автор: kurnadva
Предмет: Биология,
автор: копеечка2002
Предмет: География,
автор: Toshaaaa
Предмет: Литература,
автор: VataFioletavaya
Предмет: Биология,
автор: Mary090605