Предмет: Математика,
автор: gudratgadzhiev001
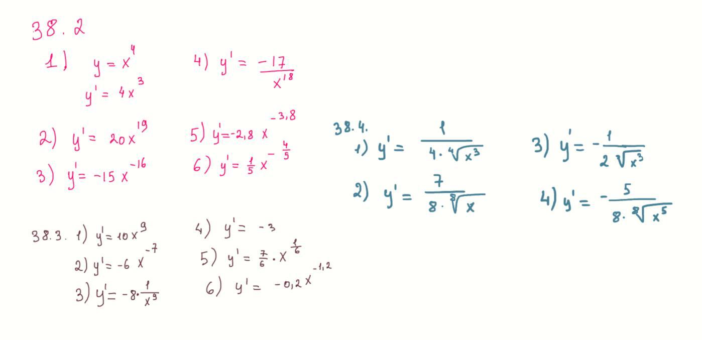
38. 2. Найдите производную функции:
1) y=a4;
3) у = x-15.
5) = x-2,8.
2) = 220.
4) =
6) = x5.
7)
Помагите Пожалуйста
Приложения:
Ответы
Автор ответа:
1
Ответ:
.......................
Пошаговое объяснение:
Приложения:
gudratgadzhiev001:
Пошаговое объяснение это как? можно просто писать и все?
тут можно так
хорошо спасибо вам большое
Похожие вопросы
Предмет: География,
автор: tatuntevsckaya
Предмет: Биология,
автор: yanakud1
Предмет: Математика,
автор: Аноним
Предмет: Математика,
автор: muza16
Предмет: Литература,
автор: Аноним