Предмет: Алгебра,
автор: xlchik2
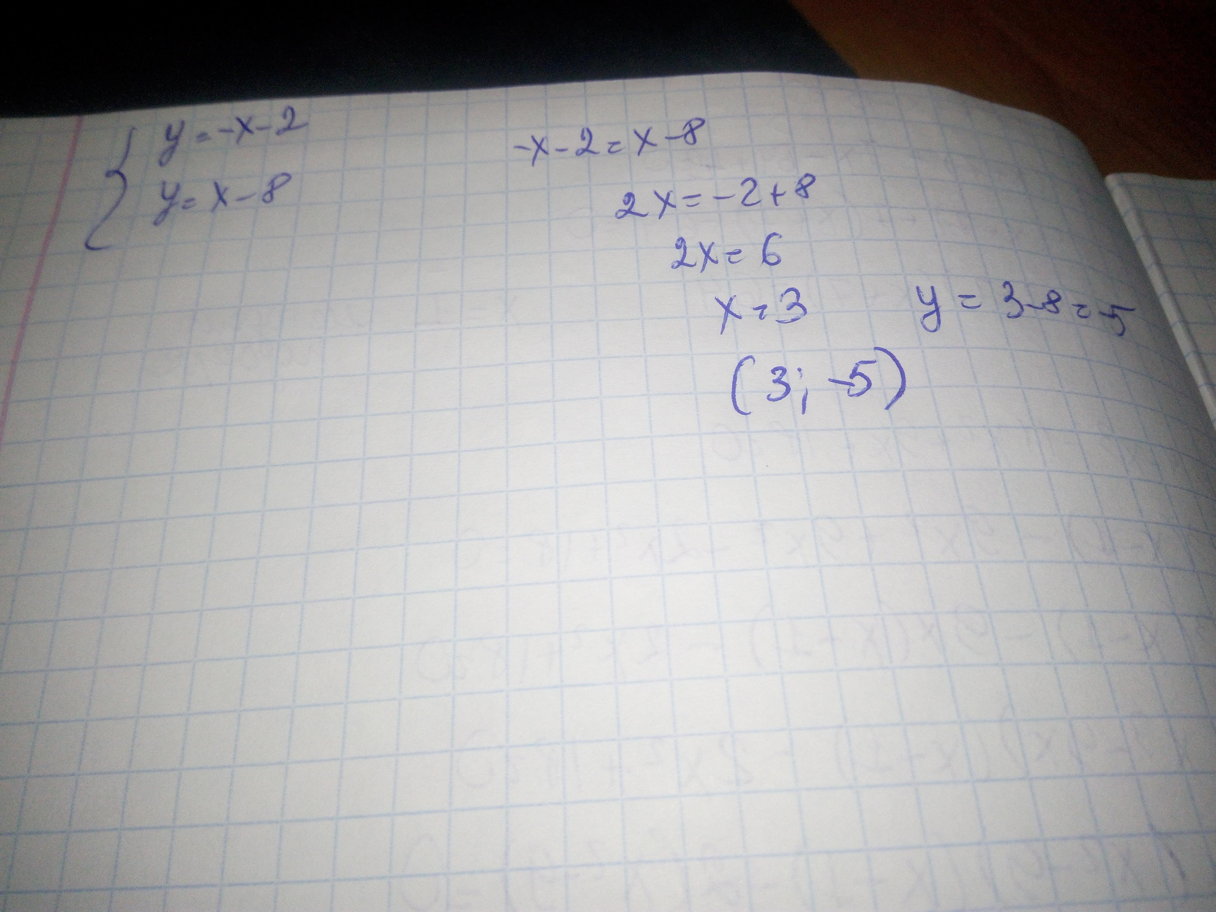
найдите координаты точек пересечения прямых y=-x-2 и y=x-8
Ответы
Автор ответа:
1
Ответ:
( 3 ; -5 )
Объяснение:
y=-x-2
y=x-8
-x-2=x-8
-x-x=-8+2
-2x=-6
x=3
y=x-8
y= 3-8
y= -5
xlchik2:
спасибо контрольную напишу
Автор ответа:
1
Ответ:файл
Объяснение:
Приложения:
Похожие вопросы
Предмет: Математика,
автор: grafivan32
Предмет: Алгебра,
автор: IIIkoLbHik
Предмет: Русский язык,
автор: Shamilik344567
Предмет: Химия,
автор: royalhumbetovozpnlr