Предмет: Математика,
автор: grishchenkoyelizavet
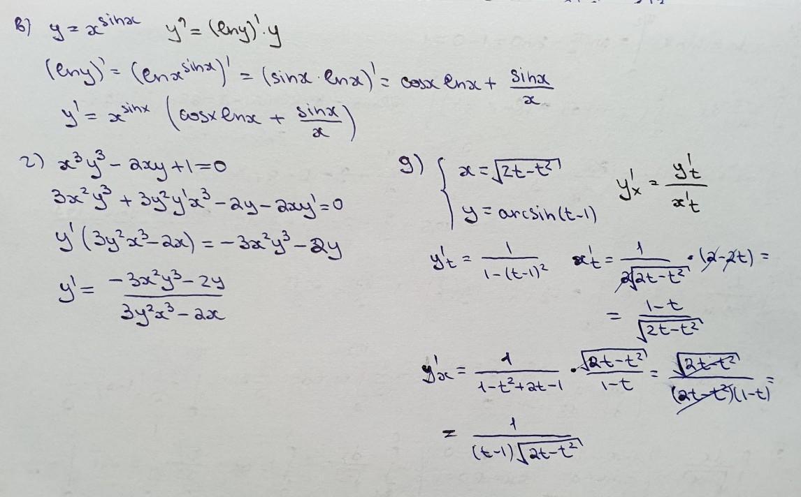
Надо вычислить производные, там 5 примеров. Помогите решить! :(
Приложения:
Ответы
Автор ответа:
1
Ответ:
решение на фотографиях
Приложения:
Похожие вопросы
Предмет: Биология,
автор: kazyuva30
Предмет: Математика,
автор: karpovivan2003
Предмет: Другие предметы,
автор: 3636363636
Предмет: Алгебра,
автор: qwepoi4