Предмет: Алгебра,
автор: salavatkyshtoobekove
ПОМОГИТЕ ПОЖАЛУЙСТА!!!
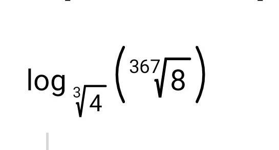
По шагово решите! пожалуйста
Приложения:
Ответы
Автор ответа:
0
Ответ:
решение на фотографии
Приложения:
Автор ответа:
1
Ответ:
Объяснение:
!!!!!!!!!!!!!!!!!!!!
Приложения:
djdjdjrk:
Помогите с заданием пожалуйста https://znanija.com/task/40494600?utm_source=android&utm_medium=share&utm_campaign=question
Похожие вопросы
Предмет: Химия,
автор: DiankaDiasha
Предмет: Геометрия,
автор: AnyaMio
Предмет: Русский язык,
автор: арина2004г
Предмет: Математика,
автор: Minecrafter111111
Предмет: Литература,
автор: Orel228227