Предмет: Алгебра,
автор: Mori3
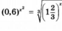
Помогите решить уравнение
Приложения:
Ответы
Автор ответа:
2
Решение прикреплено
P.S Не забудь оценить мой ответ,заранее спасибо!
Приложения:
Похожие вопросы
Предмет: Русский язык,
автор: idalkak
Предмет: Математика,
автор: Arty001
Предмет: Математика,
автор: nadezhdabelozy
Предмет: Литература,
автор: KarinaAsk
Предмет: Физика,
автор: Maribu03