Предмет: Математика,
автор: sachvil2006
Помогите решить 1 выриант 5 звёзд
Приложения:
sachvil2006:
Лево
Ответы
Автор ответа:
0
Ответ:1 dfhbfyn 5 ghbvth
1 вариант 5 пример етот ответ
Пошаговое объяснение:
Автор ответа:
0
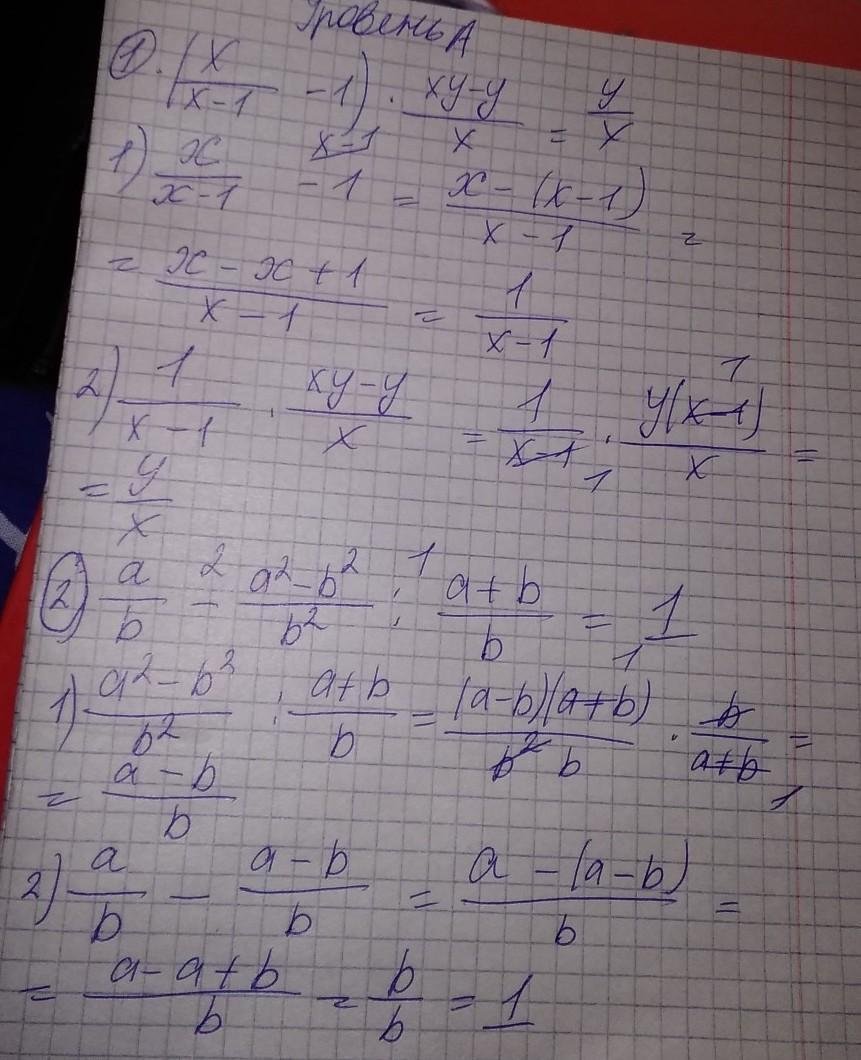
Пошаговое объяснение:
решение на фото........
Приложения:
Похожие вопросы
Предмет: Английский язык,
автор: Алина110995
Предмет: Математика,
автор: 999078689
Предмет: Русский язык,
автор: vanjasamsonov
Предмет: География,
автор: zloirusskii
Предмет: Алгебра,
автор: Nuketti