Предмет: Алгебра,
автор: ninadogadova0
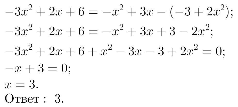
-3x²+2x+6=-x²+3x-(-3+2x²) решите пожалуйста очень срочно!!!
Ответы
Автор ответа:
4
Ответ:
х=3
Объяснение:
решение в файле !!!
Приложения:
Автор ответа:
3
~~~~~~~~~~~~~~~~~~~~
Приложения:
Похожие вопросы
Предмет: Математика,
автор: nikulin1964
Предмет: Математика,
автор: yeseny
Предмет: Математика,
автор: rodinaiuliya20
Предмет: Алгебра,
автор: Rustamfr2000
Предмет: Математика,
автор: zakrkatia